Официальное опубликование правовых актов
ОФИЦИАЛЬНОЕ ОПУБЛИКОВАНИЕ
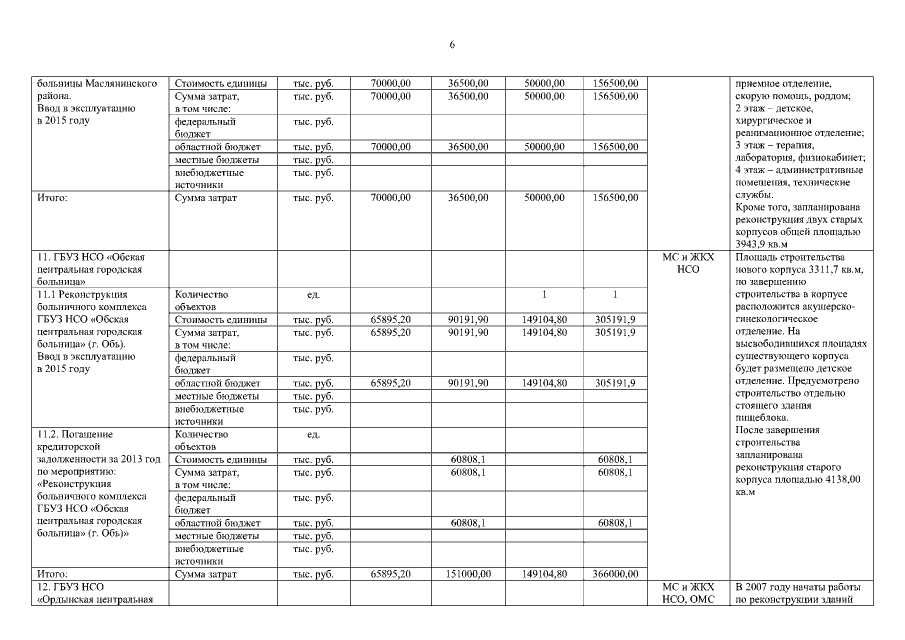
Постановление Правительства Новосибирской области от 31.10.2014 № 427-п
"О внесении изменений в постановление Правительства Новосибирской области от 19.03.2013 № 99-п"
Номер опубликования: 5400201411060005
Дата опубликования: 06.11.2014
Страница №23 из 55:
Увеличить