Официальное опубликование правовых актов
ОФИЦИАЛЬНОЕ ОПУБЛИКОВАНИЕ
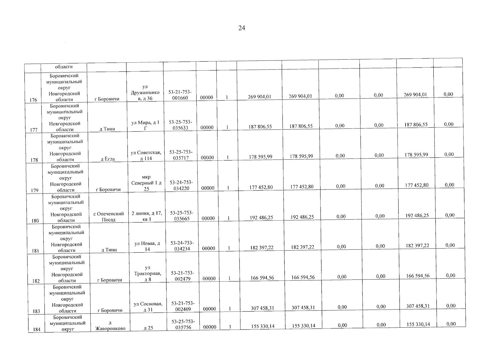
Постановление Комитета по тарифной политике Новгородской области от 03.03.2026 № 9/1
"Об утверждении размера экономически обоснованных расходов на выполнение мероприятий по подключению (технологическому присоединению) к газораспределительным сетям газоиспользующего оборудования в рамках догазификации за декабрь 2025 года"
(Зарегистрирован 04.03.2026 № 1898)
Номер опубликования: 5301202603100004
Дата опубликования: 10.03.2026
Страница №26 из 55:
Увеличить