Официальное опубликование правовых актов
ОФИЦИАЛЬНОЕ ОПУБЛИКОВАНИЕ
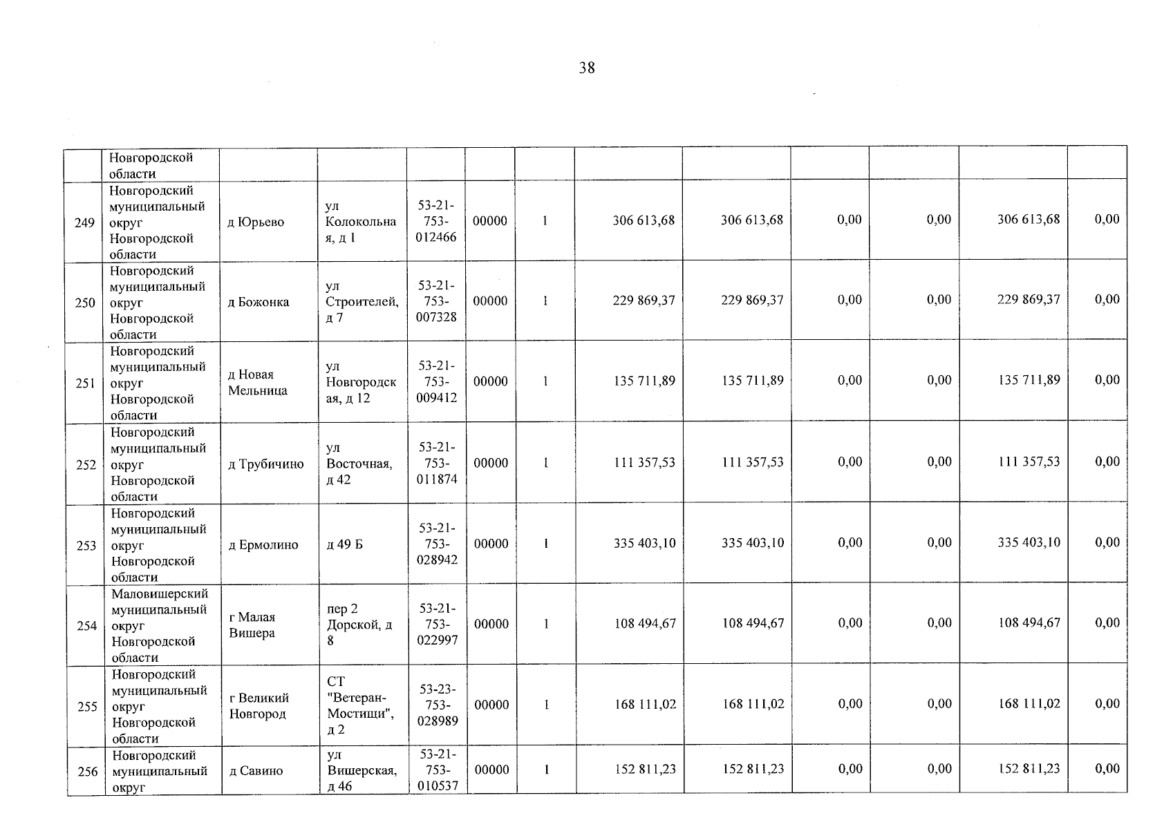
Постановление Комитета по тарифной политике Новгородской области от 26.12.2025 № 69/5
"Об утверждении размера экономически обоснованных расходов на выполнение мероприятий по подключению (технологическому присоединению) к газораспределительным сетям газоиспользующего оборудования в рамках догазификации за октябрь 2025 года"
(Зарегистрирован 30.12.2025 № 1856)
Номер опубликования: 5301202512300007
Дата опубликования: 30.12.2025
Страница №40 из 48:
Увеличить