Официальное опубликование правовых актов
ОФИЦИАЛЬНОЕ ОПУБЛИКОВАНИЕ
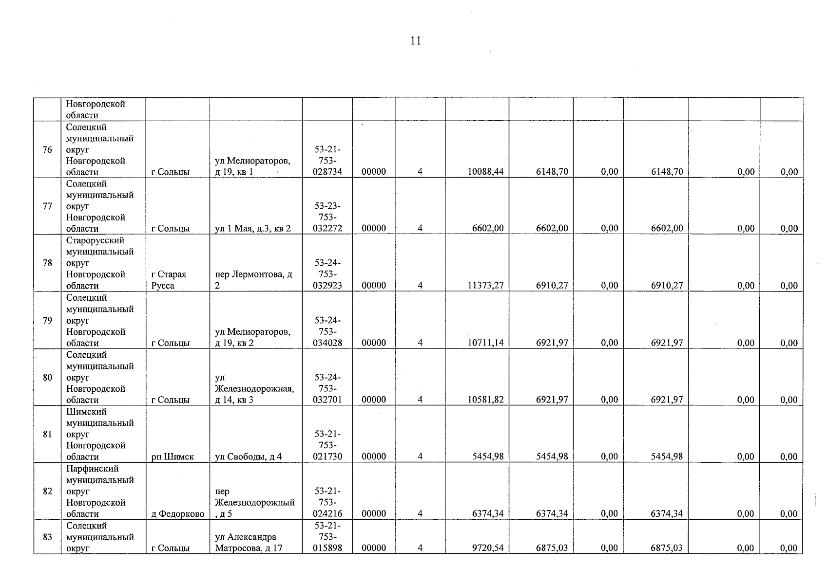
Постановление Комитета по тарифной политике Новгородской области от 22.07.2025 № 35/1
"Об утверждении размера экономически обоснованных расходов на выполнение мероприятий по подключению (технологическому присоединению) к газораспределительным сетям газоиспользующего оборудования в рамках догазификации за май 2025 года"
(Зарегистрирован 22.07.2025 № 1548)
Номер опубликования: 5301202507250001
Дата опубликования: 25.07.2025
Страница №13 из 14:
Увеличить