Официальное опубликование правовых актов
ОФИЦИАЛЬНОЕ ОПУБЛИКОВАНИЕ
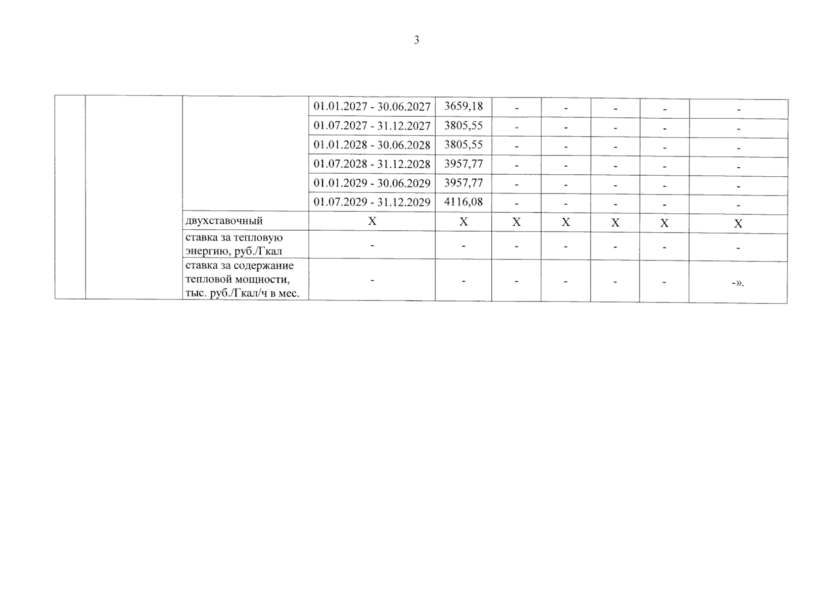
Постановление Комитета по тарифной политике Новгородской области от 11.06.2025 № 28
"О внесении изменений в некоторые постановления комитета по тарифной политике Новгородской области"
(Зарегистрирован 17.06.2025 № 1511)
Номер опубликования: 5301202506190003
Дата опубликования: 19.06.2025
Страница №3 из 16:
Увеличить