Официальное опубликование правовых актов
ОФИЦИАЛЬНОЕ ОПУБЛИКОВАНИЕ
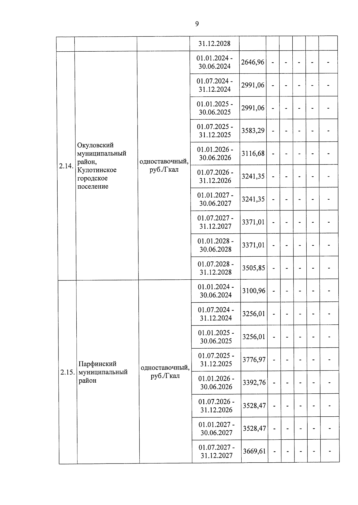
Постановление Комитета по тарифной политике Новгородской области от 19.12.2024 № 70/1
"О внесении изменений в некоторые постановления комитета по тарифной политике Новгородской области"
(Зарегистрирован 20.12.2024 № 1308)
Номер опубликования: 5301202412260010
Дата опубликования: 26.12.2024
Страница №9 из 34:
Увеличить