Официальное опубликование правовых актов
ОФИЦИАЛЬНОЕ ОПУБЛИКОВАНИЕ
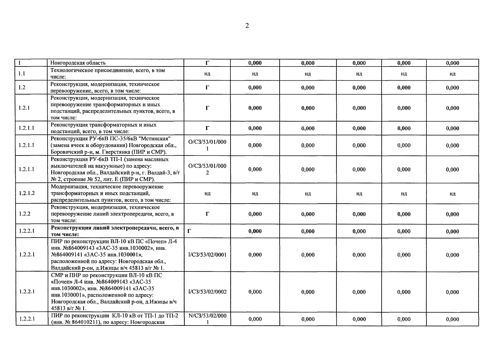
Постановление Комитета по тарифной политике Новгородской области от 31.10.2024 № 53/1
"Об утверждении инвестиционной программы акционерного общества "Оборонэнерго" на территории Новгородской области на 2024-2029 годы"
(Зарегистрирован 05.11.2024 № 1143)
Номер опубликования: 5301202411110004
Дата опубликования: 11.11.2024
Страница №18 из 54:
Увеличить