Официальное опубликование правовых актов
ОФИЦИАЛЬНОЕ ОПУБЛИКОВАНИЕ
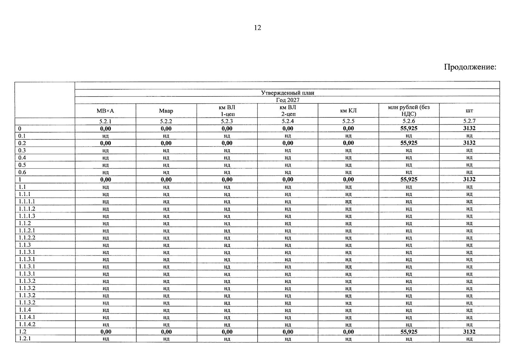
Постановление Комитета по тарифной политике Новгородской области от 22.10.2024 № 50
"Об утверждении инвестиционной программы общества с ограниченной ответственностью "ТНС энерго Великий Новгород" на территории Новгородской области на 2024-2027 годы"
(Зарегистрирован 24.10.2024 № 1103)
Номер опубликования: 5301202410290003
Дата опубликования: 29.10.2024
Страница №106 из 109:
Увеличить