Официальное опубликование правовых актов
ОФИЦИАЛЬНОЕ ОПУБЛИКОВАНИЕ
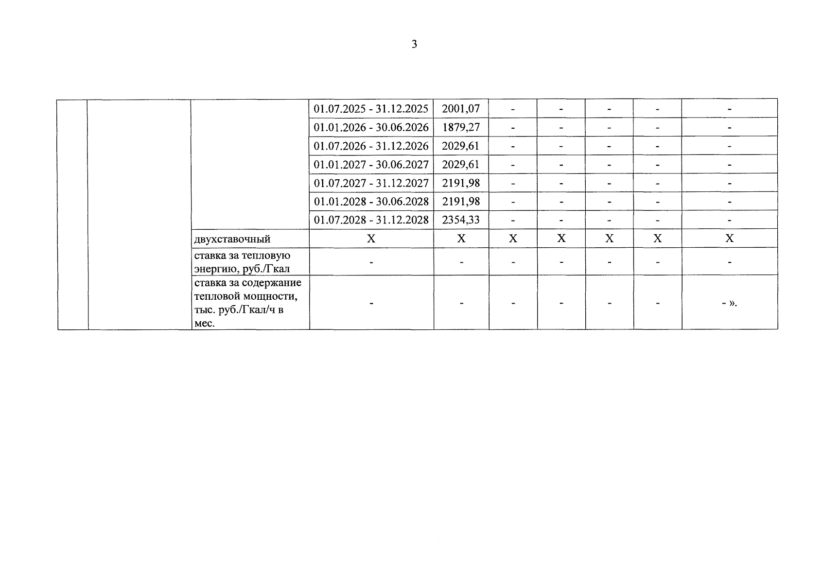
Постановление Комитета по тарифной политике Новгородской области от 15.10.2024 № 48
"О внесении изменений в постановление комитета по тарифной политике Новгородской области от 05.10.2023 № 56"
(Зарегистрирован 18.10.2024 № 1086)
Номер опубликования: 5301202410180003
Дата опубликования: 18.10.2024
Страница №3 из 4:
Увеличить