Официальное опубликование правовых актов
ОФИЦИАЛЬНОЕ ОПУБЛИКОВАНИЕ
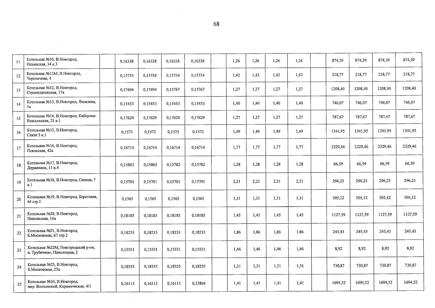
Постановление Комитета по тарифной политике Новгородской области от 15.08.2024 № 36/1
"О внесении изменений в постановление комитета по ценовой и тарифной политике области от 16.09.2016 № 29"
(Зарегистрирован 16.08.2024 № 970)
Номер опубликования: 5301202408230004
Дата опубликования: 23.08.2024
Страница №68 из 100:
Увеличить