Постановление Комитета по тарифной политике Новгородской области от 15.08.2024 № 36/3
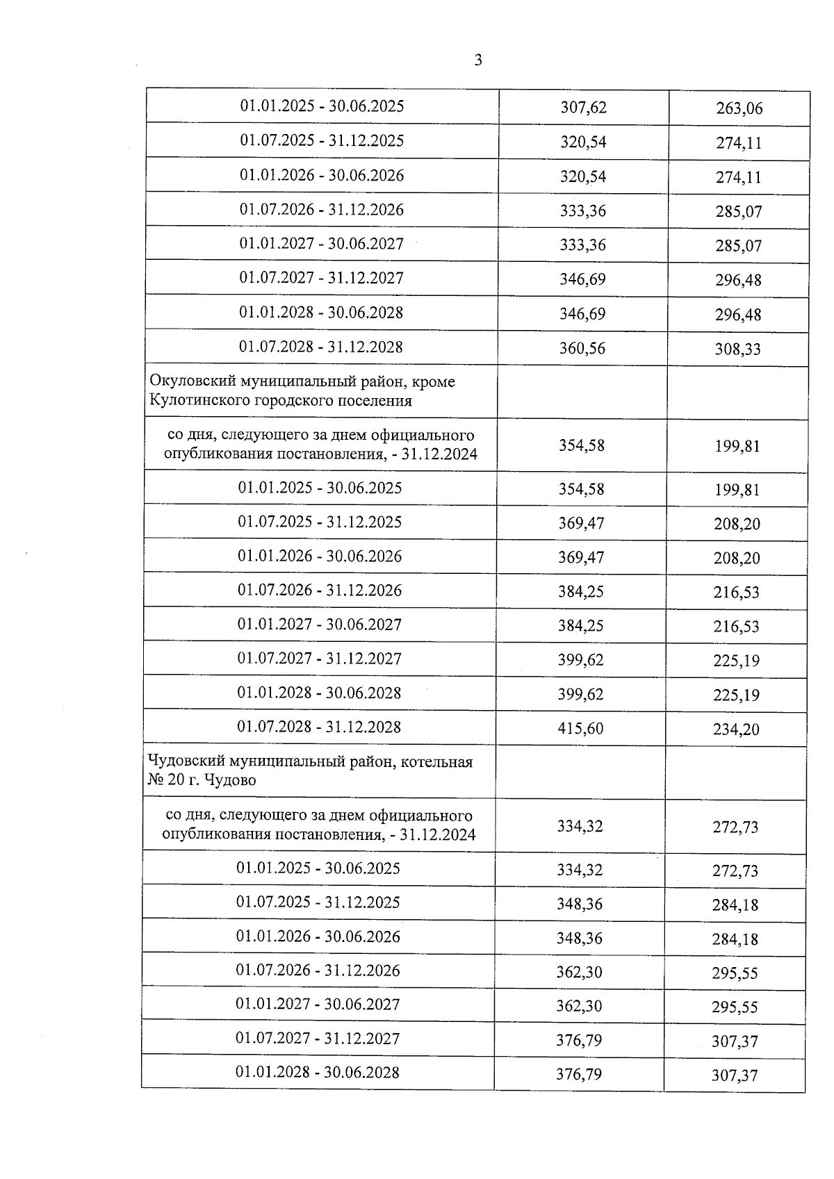
"О производственной программе, долгосрочных параметрах регулирования и тарифах в сфере горячего водоснабжения общества с ограниченной ответственностью "Тепловая Компания Новгородская" в отношении системы централизованного горячего водоснабжения, являющейся объектом концессионного соглашения от 03.07.2024, на 2024 - 2028 годы"
(Зарегистрирован 16.08.2024 № 972)
"О производственной программе, долгосрочных параметрах регулирования и тарифах в сфере горячего водоснабжения общества с ограниченной ответственностью "Тепловая Компания Новгородская" в отношении системы централизованного горячего водоснабжения, являющейся объектом концессионного соглашения от 03.07.2024, на 2024 - 2028 годы"
(Зарегистрирован 16.08.2024 № 972)
Номер опубликования: 5301202408200002
Дата опубликования:
20.08.2024
