Официальное опубликование правовых актов
ОФИЦИАЛЬНОЕ ОПУБЛИКОВАНИЕ
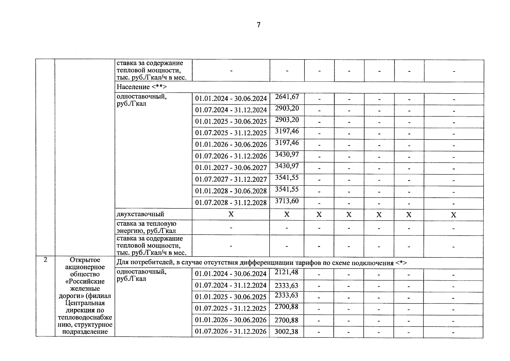
Постановление Комитета по тарифной политике Новгородской области от 09.11.2023 № 65/1
"О долгосрочных параметрах регулирования, тарифах на тепловую энергию (мощность) открытого акционерного общества "Российские железные дороги" на территории Новгородской области на 2024-2028 годы"
(Зарегистрирован 13.11.2023 № 455)
Номер опубликования: 5301202311140003
Дата опубликования: 14.11.2023
Страница №7 из 9:
Увеличить