Официальное опубликование правовых актов
ОФИЦИАЛЬНОЕ ОПУБЛИКОВАНИЕ
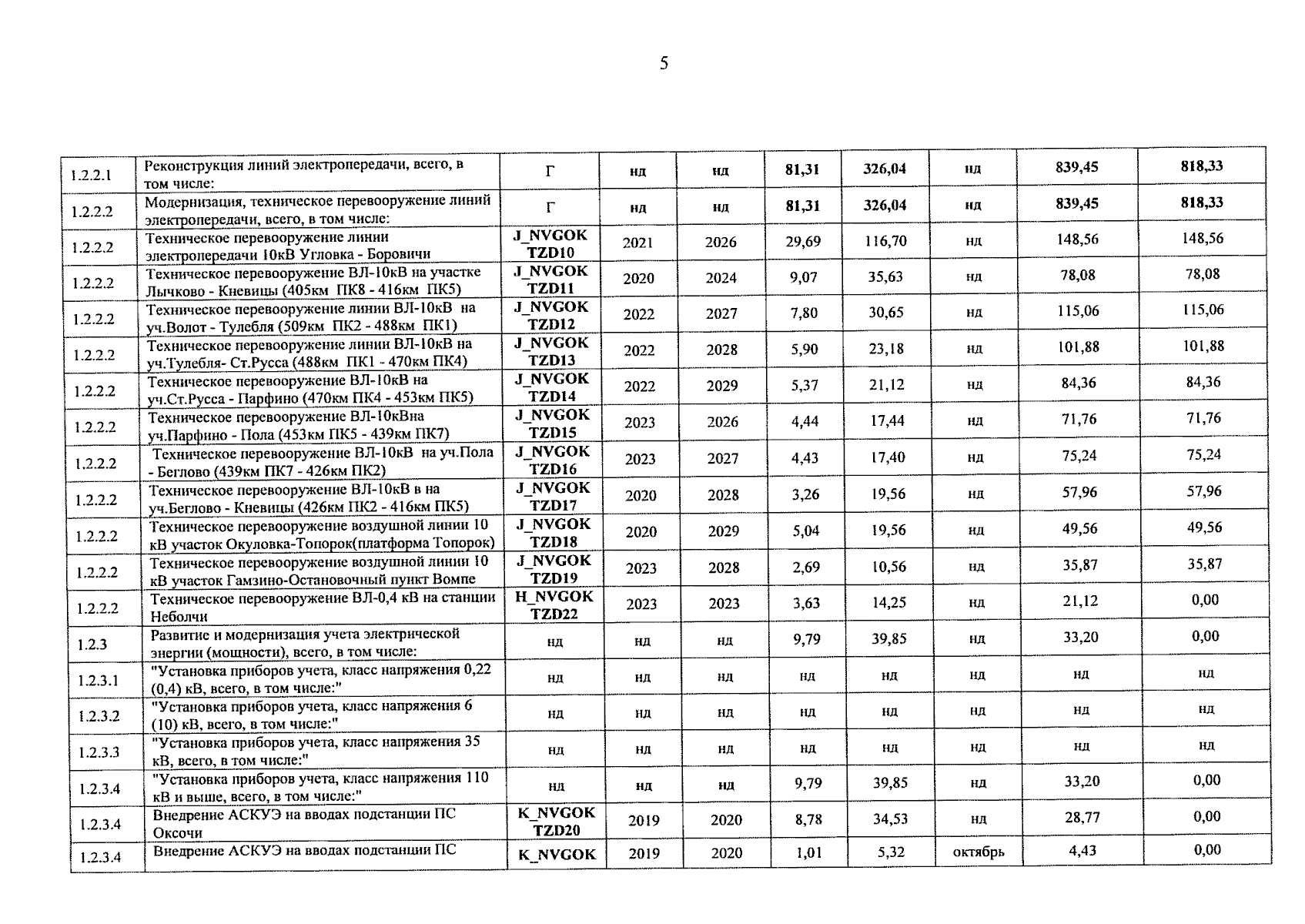
Постановление Комитета по тарифной политике Новгородской области от 12.09.2023 № 51/1
"Об утверждении изменений, вносимых в инвестиционную программу открытого акционерного общества "Российские железные дороги" на территории Новгородской области на 2020-2024 годы"
(Зарегистрирован 14.09.2023 № 333)
Номер опубликования: 5301202309180002
Дата опубликования: 18.09.2023
Страница №5 из 109:
Увеличить