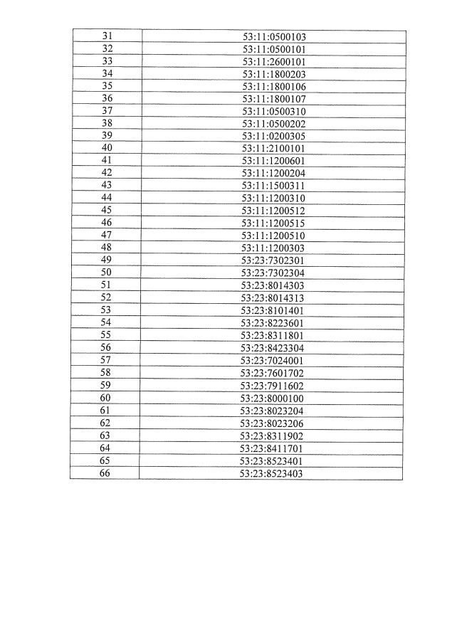
Постановление Министерства строительства, архитектуры и имущественных отношений Новгородской области от 17.05.2022 № 8
"Об утверждении Перечня кадастровых кварталов, в границах которых на территории Новгородской области предполагается проведение комплексных кадастровых работ"
"Об утверждении Перечня кадастровых кварталов, в границах которых на территории Новгородской области предполагается проведение комплексных кадастровых работ"
Номер опубликования: 5301202205190001
Дата опубликования:
19.05.2022
