Официальное опубликование правовых актов
ОФИЦИАЛЬНОЕ ОПУБЛИКОВАНИЕ
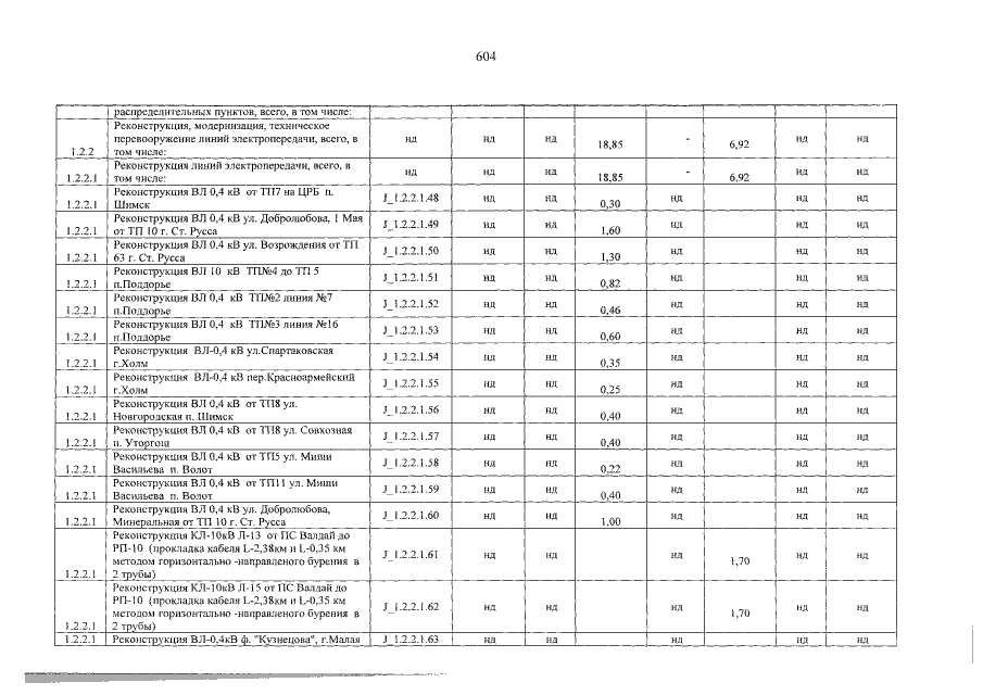
Постановление Комитета по тарифной политике Новгородской области от 01.10.2020 № 42
"Об утверждении изменений, вносимых в инвестиционную программу акционерного общества "Новгородоблэлектро" на 2020-2024 годы"
Номер опубликования: 5301202010060001
Дата опубликования: 06.10.2020
Страница №604 из 686:
Увеличить