Официальное опубликование правовых актов
ОФИЦИАЛЬНОЕ ОПУБЛИКОВАНИЕ
Постановление Комитета по тарифной политике Новгородской области от 31.08.2020 № 35
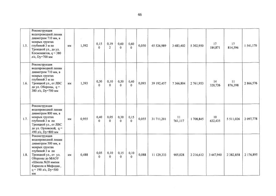
"О внесении изменений в инвестиционную программу муниципального унитарного предприятия Великого Новгорода "Новгородский водоканал" по развитию системы коммунальной инфраструктуры холодного водоснабжения и хозяйственно-бытового водоотведения Великого Новгорода на 2019 - 2023 годы, утвержденную постановлением комитета по тарифной политике Новгородской области от 29.10.2018 № 37/2"
Номер опубликования: 5301202009030001
Дата опубликования: 03.09.2020
Страница №46 из 90:
Увеличить