Официальное опубликование правовых актов
ОФИЦИАЛЬНОЕ ОПУБЛИКОВАНИЕ
Постановление Департамента образования и молодежной политики Новгородской области от 14.12.2017 № 6
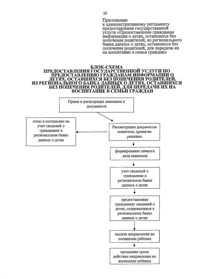
"Об утверждении административного регламента предоставления государственной услуги "Предоставление гражданам информации о детях, оставшихся без попечения родителей, из регионального банка данных о детях, оставшихся без попечения родителей, для передачи их на воспитание в семьи граждан"
Номер опубликования: 5301201712200002
Дата опубликования: 20.12.2017
Страница №30 из 30:
Увеличить