Постановление Департамента труда и социальной защиты населения Новгородской области от 29.05.2017 № 34
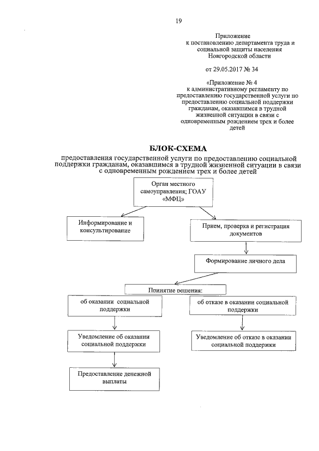
"О внесении изменений в административный регламент по предоставлению государственной услуги по предоставлению социальной поддержки гражданам, оказавшимся в трудной жизненной ситуации в связи с одновременным рождением трех и более детей"
"О внесении изменений в административный регламент по предоставлению государственной услуги по предоставлению социальной поддержки гражданам, оказавшимся в трудной жизненной ситуации в связи с одновременным рождением трех и более детей"
Номер опубликования: 5301201705310001
Дата опубликования:
31.05.2017
