Официальное опубликование правовых актов
ОФИЦИАЛЬНОЕ ОПУБЛИКОВАНИЕ
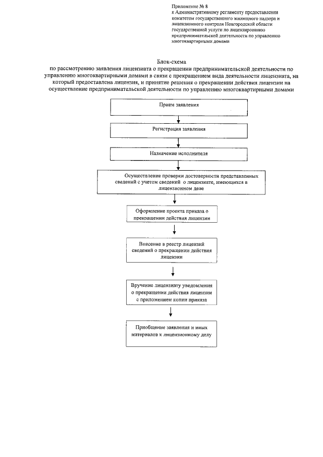
Постановление Комитета государственного жилищного надзора и лицензионного контроля Новгородской области от 28.04.2017 № 1
"Об утверждении Административного регламента предоставления комитетом государственного жилищного надзора и лицензионного контроля Новгородской области государственной услуги по лицензированию предпринимательской деятельности по управлению многоквартирными домами, осуществляемой юридическими лицами и индивидуальными предпринимателями"
Номер опубликования: 5301201705040001
Дата опубликования: 04.05.2017
Страница №42 из 43:
Увеличить