Постановление Департамента труда и социальной защиты населения Новгородской области от 09.03.2017 № 20
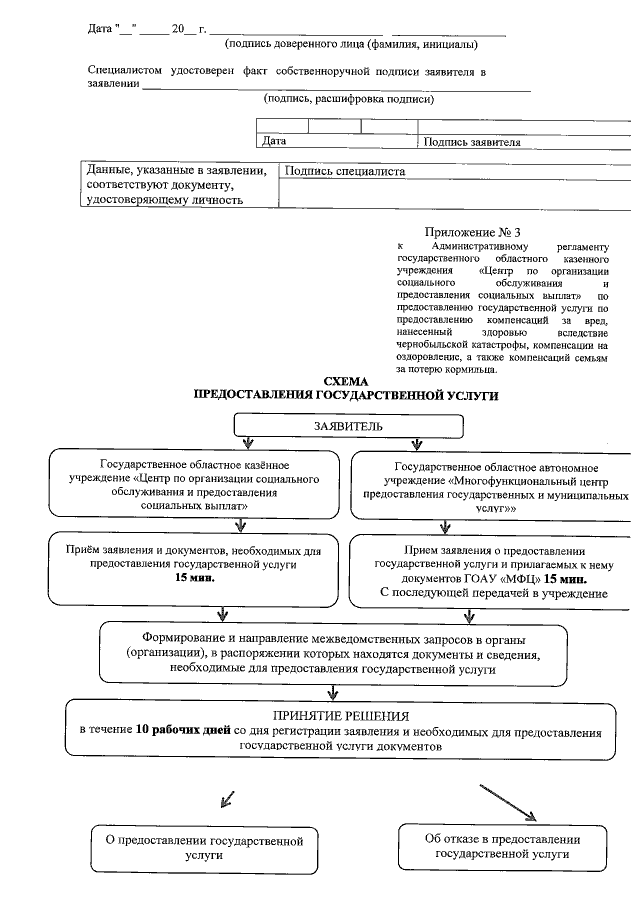
"О внесении изменения в Административный регламент государственного областного казенного учреждения "Центр по организации социального обслуживания и предоставления социальных выплат" по предоставлению на территории Новгородской области государственной услуги по предоставлению компенсаций за вред, нанесенный здоровью вследствие чернобыльской катастрофы, компенсация на оздоровление, а также компенсаций семьям за потерю кормильца"
"О внесении изменения в Административный регламент государственного областного казенного учреждения "Центр по организации социального обслуживания и предоставления социальных выплат" по предоставлению на территории Новгородской области государственной услуги по предоставлению компенсаций за вред, нанесенный здоровью вследствие чернобыльской катастрофы, компенсация на оздоровление, а также компенсаций семьям за потерю кормильца"
Номер опубликования: 5301201703150002
Дата опубликования:
15.03.2017
