Распоряжение Правительства Новгородской области от 21.04.2025 № 229-рг
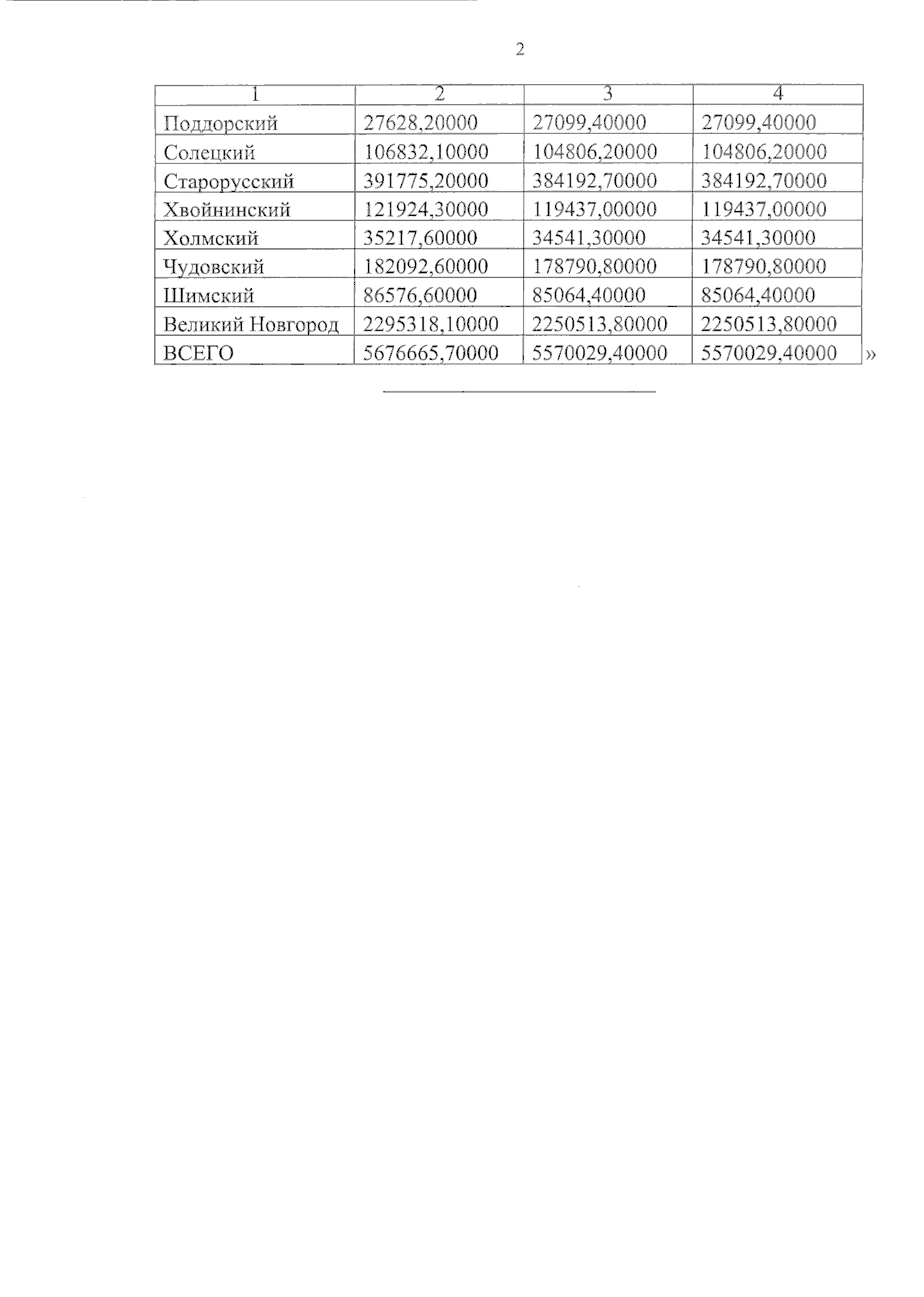
"Об утверждении изменений, которые вносятся в распределение субвенций бюджетам муниципальных районов, муниципальных округов и городского округа на обеспечение государственных гарантий реализации прав на получение общедоступного и бесплатного дошкольного образования в муниципальных дошкольных образовательных организациях, общедоступного и бесплатного дошкольного, начального общего, основного общего, среднего общего образования в муниципальных общеобразовательных организациях, обеспечение дополнительного образования детей в муниципальных общеобразовательных организациях в части расходов на оплату труда работникам образовательных организаций, технические средства обучения, расходные материалы и хозяйственные нужды образовательных организаций, на организацию обучения по основным общеобразовательным программам на дому, возмещение расходов за пользование услугой доступа к информационно-телекоммуникационной сети "Интернет" муниципальных общеобразовательных организаций, организующих обучение детей-инвалидов с использованием дистанционных образовательных технологий, на 2025 год и на плановый период 2026 и 2027 годов, и распределений иных межбюджетных трансфертов бюджетам муниципальных районов, муниципальных округов, городского округа и поселений области на 2025 год"
"Об утверждении изменений, которые вносятся в распределение субвенций бюджетам муниципальных районов, муниципальных округов и городского округа на обеспечение государственных гарантий реализации прав на получение общедоступного и бесплатного дошкольного образования в муниципальных дошкольных образовательных организациях, общедоступного и бесплатного дошкольного, начального общего, основного общего, среднего общего образования в муниципальных общеобразовательных организациях, обеспечение дополнительного образования детей в муниципальных общеобразовательных организациях в части расходов на оплату труда работникам образовательных организаций, технические средства обучения, расходные материалы и хозяйственные нужды образовательных организаций, на организацию обучения по основным общеобразовательным программам на дому, возмещение расходов за пользование услугой доступа к информационно-телекоммуникационной сети "Интернет" муниципальных общеобразовательных организаций, организующих обучение детей-инвалидов с использованием дистанционных образовательных технологий, на 2025 год и на плановый период 2026 и 2027 годов, и распределений иных межбюджетных трансфертов бюджетам муниципальных районов, муниципальных округов, городского округа и поселений области на 2025 год"
Номер опубликования: 5300202504230003
Дата опубликования:
23.04.2025
