Распоряжение Правительства Новгородской области от 25.12.2024 № 887-рг
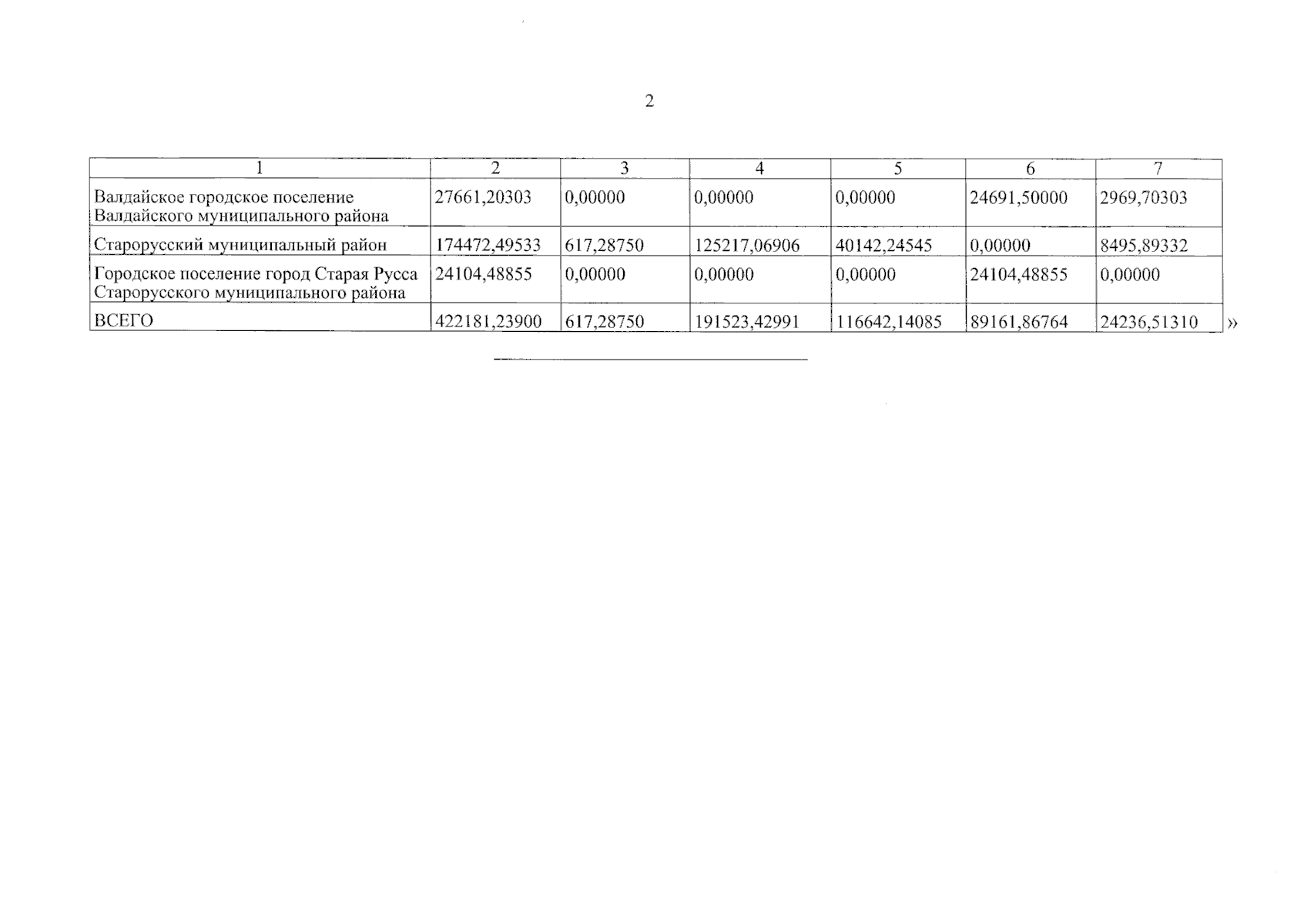
"О внесении изменения в распределение субсидий бюджетам Боровичского, Валдайского и Старорусского муниципальных районов Новгородской области, городских и сельских поселений Боровичского, Валдайского и Старорусского муниципальных районов Новгородской области в целях софинансирования расходных обязательств, возникающих при реализации мероприятий пилотного проекта, направленного на стимулирование рождаемости, на территории Новгородской области, на 2024 год"
"О внесении изменения в распределение субсидий бюджетам Боровичского, Валдайского и Старорусского муниципальных районов Новгородской области, городских и сельских поселений Боровичского, Валдайского и Старорусского муниципальных районов Новгородской области в целях софинансирования расходных обязательств, возникающих при реализации мероприятий пилотного проекта, направленного на стимулирование рождаемости, на территории Новгородской области, на 2024 год"
Номер опубликования: 5300202412280035
Дата опубликования:
28.12.2024
