Официальное опубликование правовых актов
ОФИЦИАЛЬНОЕ ОПУБЛИКОВАНИЕ
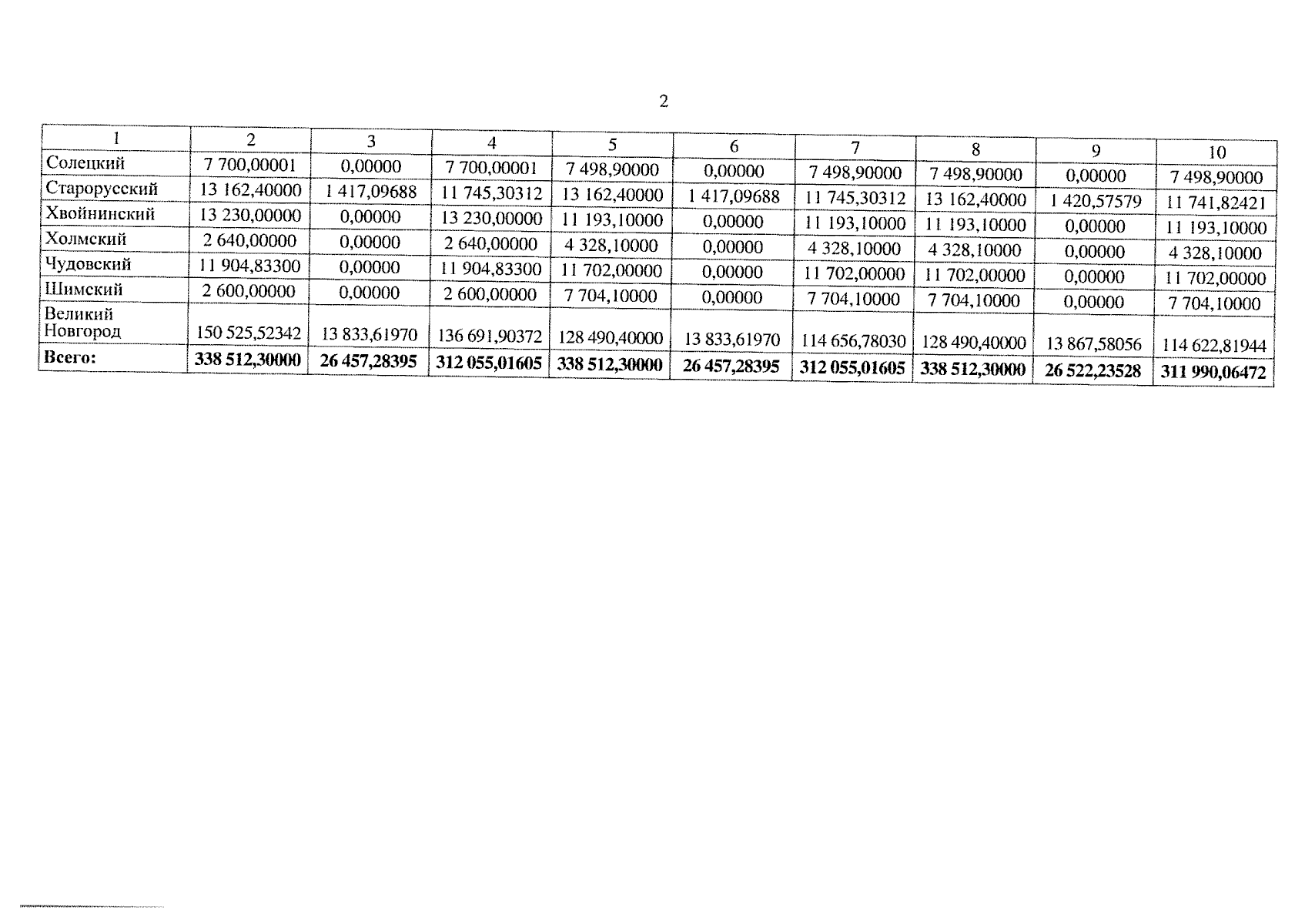
Областной закон Новгородской области от 29.08.2023 № 379-ОЗ
"О внесении изменений в областной закон "Об областном бюджете на 2023 год и на плановый период 2024 и 2025 годов"
Номер опубликования: 5300202308310002
Дата опубликования: 31.08.2023
Страница №665 из 675:
Увеличить