Официальное опубликование правовых актов
ОФИЦИАЛЬНОЕ ОПУБЛИКОВАНИЕ
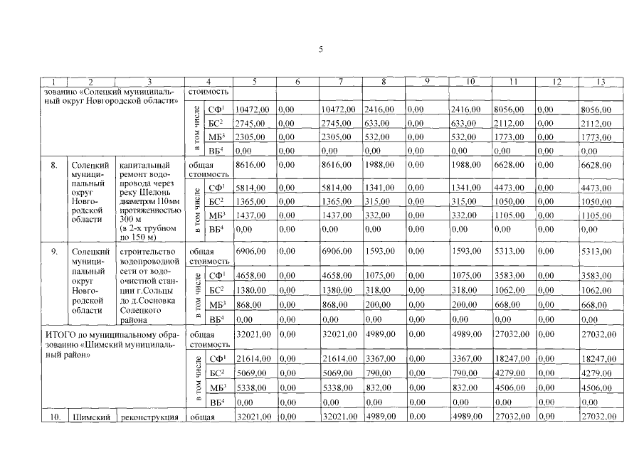
Постановление Правительства Новгородской области от 10.05.2023 № 188
"О государственной программе Новгородской области "Модернизация систем коммунальной инфраструктуры Новгородской области на 2023-2027 годы"
Номер опубликования: 5300202305110003
Дата опубликования: 11.05.2023
Страница №48 из 68:
Увеличить