Официальное опубликование правовых актов
ОФИЦИАЛЬНОЕ ОПУБЛИКОВАНИЕ
Постановление Правительства Новгородской области от 26.04.2023 № 170
"О Порядке предоставления в 2023 году грантов в форме субсидий из областного бюджета некоммерческим организациям, не являющимся казенными учреждениями, осуществляющим образовательную деятельность, на финансовое обеспечение затрат, связанных с обучением лиц, замещающих государственные должности Новгородской области, должности государственной гражданской службы Новгородской области, лиц, занимающих должности служащих в органах исполнительной власти Новгородской области, лиц, замещающих муниципальные должности, должности муниципальной службы, лиц, занимающих должности служащих в органах местного самоуправления Новгородской области, работников областных и муниципальных учреждений Новгородской области, а также лиц, включенных в резерв управленческих кадров Новгородской области, и лиц, состоящих в резервах управленческих кадров, сформированных в муниципальных образованиях Новгородской области"
Номер опубликования: 5300202304270001
Дата опубликования: 27.04.2023
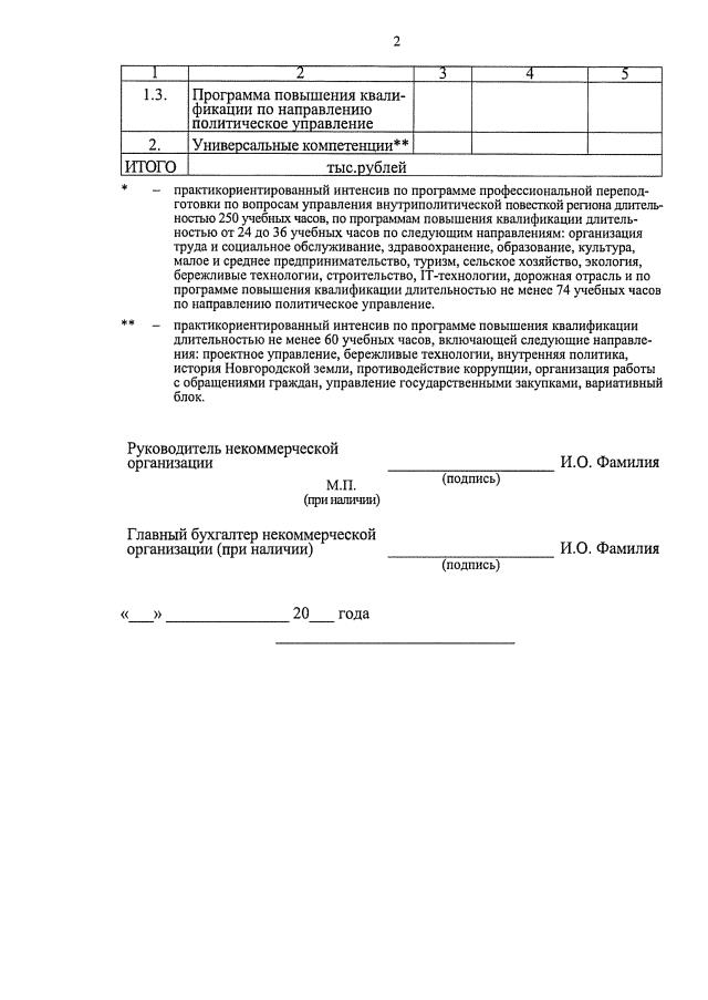
Страница №29 из 36:
Увеличить