Официальное опубликование правовых актов
ОФИЦИАЛЬНОЕ ОПУБЛИКОВАНИЕ
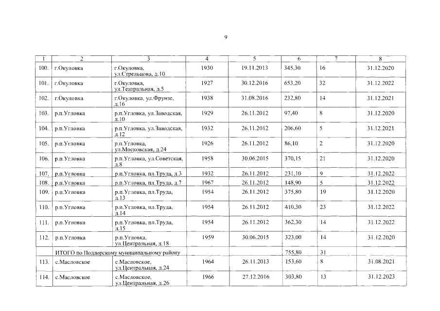
Постановление Правительства Новгородской области от 16.01.2023 № 23
"О внесении изменений в региональную адресную программу "Переселение граждан, проживающих на территории Новгородской области, из аварийного жилищного фонда в 2019-2025 годах"
Номер опубликования: 5300202301170001
Дата опубликования: 17.01.2023
Страница №14 из 78:
Увеличить