Официальное опубликование правовых актов
ОФИЦИАЛЬНОЕ ОПУБЛИКОВАНИЕ
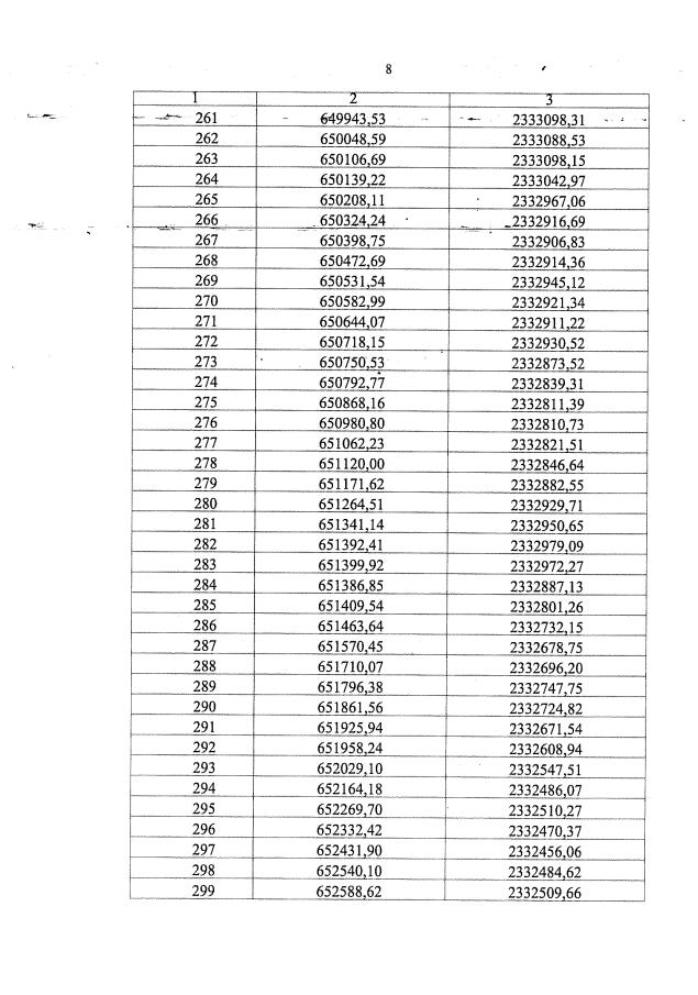
Постановление Правительства Новгородской области от 01.08.2022 № 428
"О памятнике природы регионального значения "Карстовая река Рагуша (вытекает из оз.Никулинское)"
Номер опубликования: 5300202208020004
Дата опубликования: 02.08.2022
Страница №16 из 28:
Увеличить