Официальное опубликование правовых актов
ОФИЦИАЛЬНОЕ ОПУБЛИКОВАНИЕ
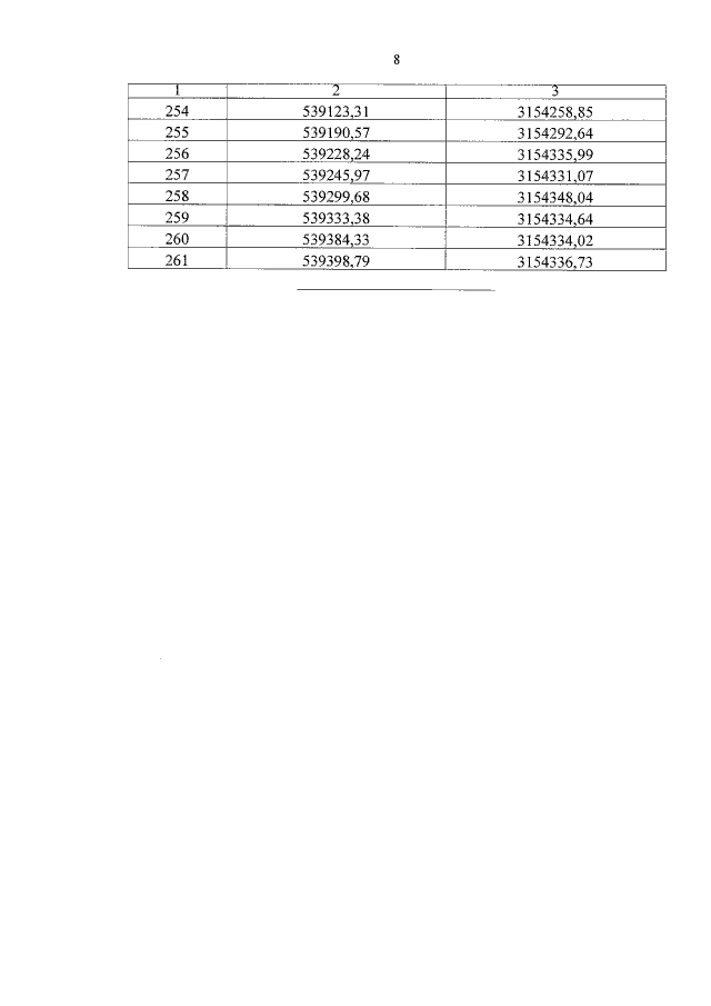
Постановление Правительства Новгородской области от 21.03.2022 № 132
"О памятнике природы регионального значения "Водно-ландшафтный памятник "Озеро "Пирос"
Номер опубликования: 5300202203230012
Дата опубликования: 23.03.2022
Страница №16 из 16:
Увеличить