Официальное опубликование правовых актов
ОФИЦИАЛЬНОЕ ОПУБЛИКОВАНИЕ
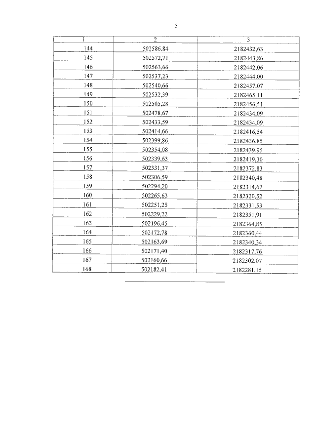
Постановление Правительства Новгородской области от 25.02.2022 № 87
"О памятнике природы регионального значения "Ландшафтный парк "Дубрава" у д.Подцепочье"
Номер опубликования: 5300202203010020
Дата опубликования: 01.03.2022
Страница №13 из 13:
Увеличить