Официальное опубликование правовых актов
ОФИЦИАЛЬНОЕ ОПУБЛИКОВАНИЕ
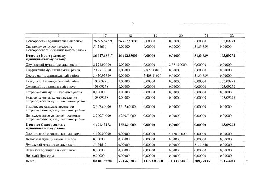
Распоряжение Правительства Новгородской области от 22.12.2021 № 333-рг
"Об утверждении изменений, которые вносятся в распределение субсидий бюджетам муниципальных районов, муниципальных округов, городского округа, поселений области на поддержку отрасли культуры на 2021 год и на плановый период 2022 и 2023 годов"
Номер опубликования: 5300202112220004
Дата опубликования: 22.12.2021
Страница №7 из 7:
Увеличить