Официальное опубликование правовых актов
ОФИЦИАЛЬНОЕ ОПУБЛИКОВАНИЕ
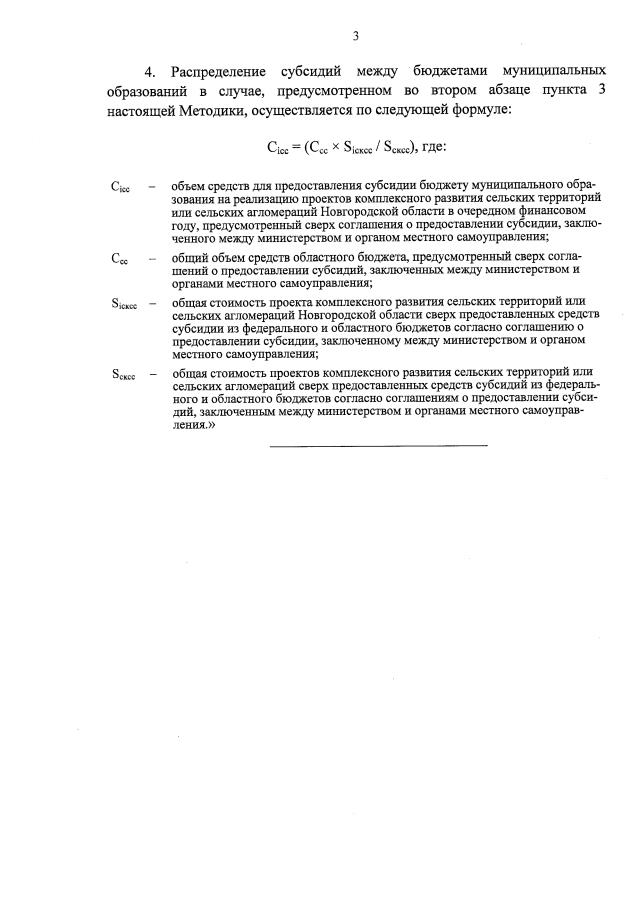
Постановление Правительства Новгородской области от 17.09.2021 № 290
"О внесении изменений в государственную программу Новгородской области "Комплексное развитие сельских территорий Новгородской области до 2025 года"
Номер опубликования: 5300202109200008
Дата опубликования: 20.09.2021
Страница №25 из 26:
Увеличить