Официальное опубликование правовых актов
ОФИЦИАЛЬНОЕ ОПУБЛИКОВАНИЕ
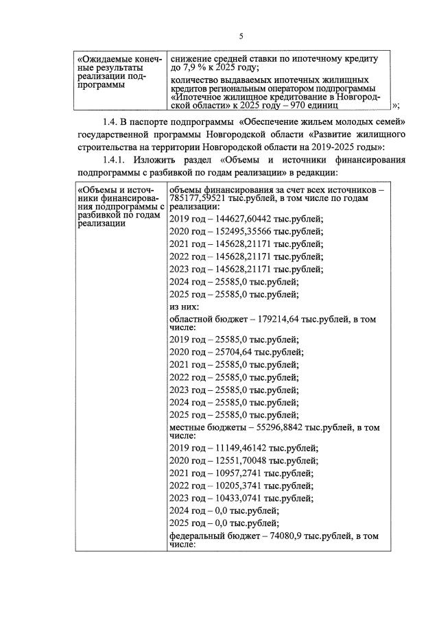
Постановление Правительства Новгородской области от 10.09.2021 № 281
"О внесении изменений в государственную программу Новгородской области "Развитие жилищного строительства на территории Новгородской области на 2019-2025 годы"
Номер опубликования: 5300202109110005
Дата опубликования: 11.09.2021
Страница №5 из 66:
Увеличить