Официальное опубликование правовых актов
ОФИЦИАЛЬНОЕ ОПУБЛИКОВАНИЕ
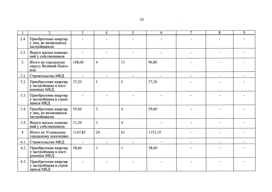
Постановление Правительства Новгородской области от 17.06.2021 № 170
"О внесении изменений в региональную адресную программу "Переселение граждан, проживающих на территории Новгородской области, из аварийного жилищного фонда в 2019-2025 годах"
Номер опубликования: 5300202106180002
Дата опубликования: 18.06.2021
Страница №30 из 80:
Увеличить