Официальное опубликование правовых актов
ОФИЦИАЛЬНОЕ ОПУБЛИКОВАНИЕ
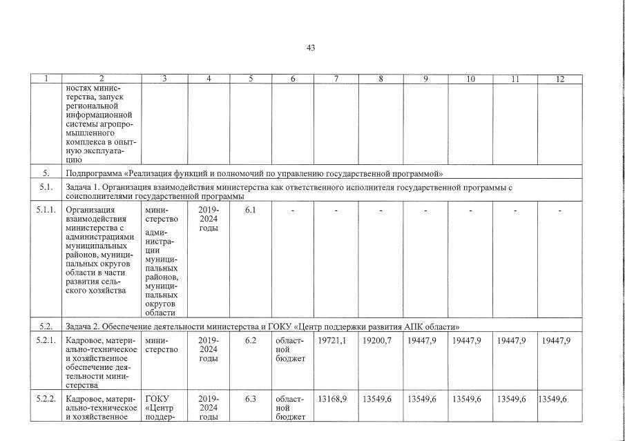
Постановление Правительства Новгородской области от 29.01.2021 № 13
"О внесении изменений в государственную программу Новгородской области "Развитие сельского хозяйства в Новгородской области на 2019-2024 годы"
Номер опубликования: 5300202102020012
Дата опубликования: 02.02.2021
Страница №50 из 60:
Увеличить