Официальное опубликование правовых актов
ОФИЦИАЛЬНОЕ ОПУБЛИКОВАНИЕ
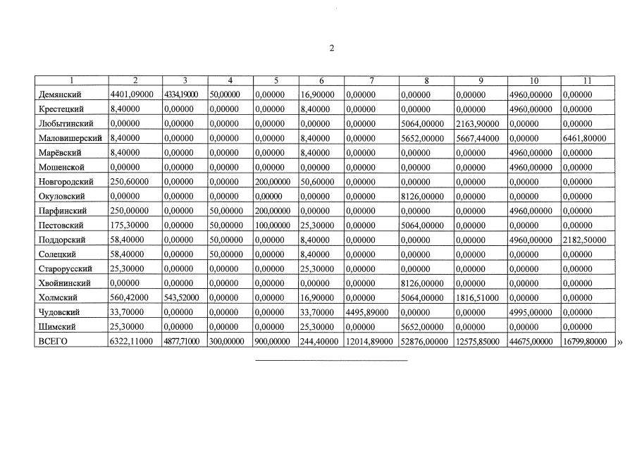
Распоряжение Правительства Новгородской области от 29.12.2020 № 438-рг
"Об утверждении изменений, которые вносятся в распределение субсидий бюджетам муниципальных образований области на поддержку отрасли культуры на 2020 год и на плановый период 2021 и 2022 годов"
Номер опубликования: 5300202012300003
Дата опубликования: 30.12.2020
Страница №3 из 5:
Увеличить