Официальное опубликование правовых актов
ОФИЦИАЛЬНОЕ ОПУБЛИКОВАНИЕ
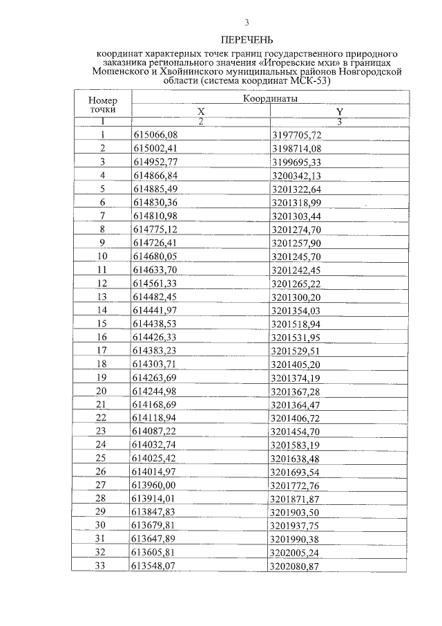
Постановление Правительства Новгородской области от 26.02.2020 № 58
"О внесении изменений в Положение о государственном природном заказнике регионального значения "Игоревские мхи"
Номер опубликования: 5300202002280004
Дата опубликования: 28.02.2020
Страница №3 из 14:
Увеличить