Официальное опубликование правовых актов
ОФИЦИАЛЬНОЕ ОПУБЛИКОВАНИЕ
Постановление Правительства Новгородской области от 28.03.2019 № 109
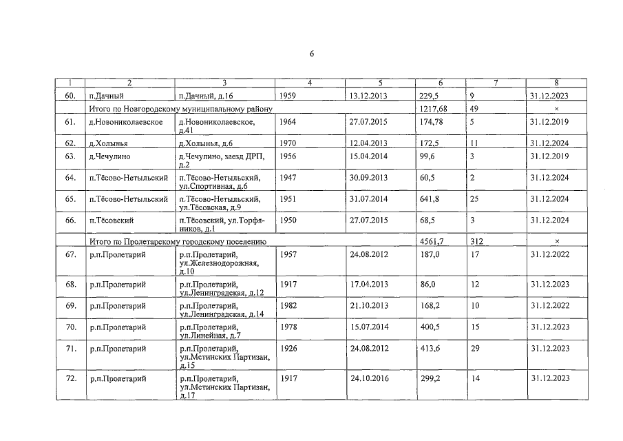
"Об утверждении региональной адресной программы "Переселение граждан, проживающих на территории Новгородской области, из аварийного жилищного фонда в 2019-2025 годах"
Номер опубликования: 5300201904020002
Дата опубликования: 02.04.2019
Страница №26 из 63:
Увеличить