Официальное опубликование правовых актов
ОФИЦИАЛЬНОЕ ОПУБЛИКОВАНИЕ
Постановление Правительства Новгородской области от 13.06.2018 № 279
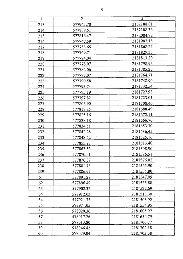
"Об утверждении границ зон охраны объекта культурного наследия регионального значения "Церковь Воскресения на Красном поле, XVI в.", расположенного по адресу: Великий Новгород, ул.Связи, особых режимов использования земель и требований к градостроительным регламентам в границах территорий данных зон"
Номер опубликования: 5300201806190003
Дата опубликования: 19.06.2018
Страница №11 из 32:
Увеличить