Официальное опубликование правовых актов
ОФИЦИАЛЬНОЕ ОПУБЛИКОВАНИЕ
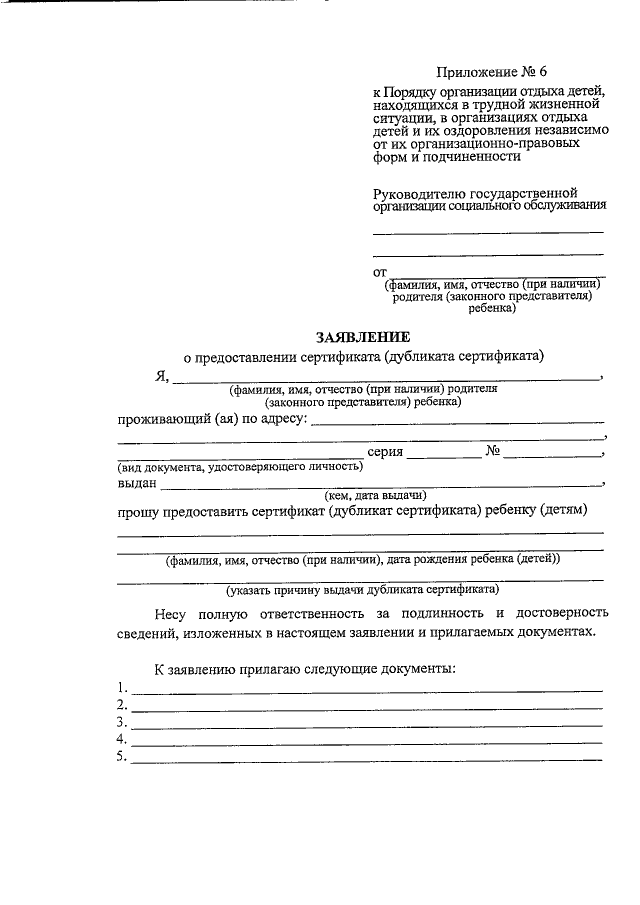
Постановление Правительства Новгородской области от 01.06.2018 № 254
"Об организации отдыха детей, находящихся в трудной жизненной ситуации"
Номер опубликования: 5300201806080003
Дата опубликования: 08.06.2018
Страница №20 из 25:
Увеличить