Официальное опубликование правовых актов
ОФИЦИАЛЬНОЕ ОПУБЛИКОВАНИЕ
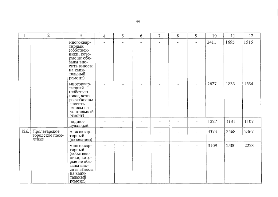
Постановление Правительства Новгородской области от 30.06.2017 № 226
"Об утверждении региональных стандартов стоимости жилищно-коммунальных услуг на 2017 год"
Номер опубликования: 5300201707050007
Дата опубликования: 05.07.2017
Страница №45 из 89:
Увеличить