Официальное опубликование правовых актов
ОФИЦИАЛЬНОЕ ОПУБЛИКОВАНИЕ
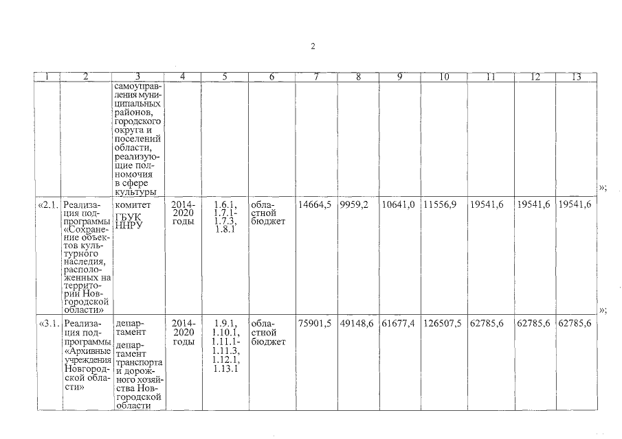
Постановление Правительства Новгородской области от 11.08.2016 № 296
"О внесении изменений в государственную программу Новгородской области "Развитие культуры и туризма Новгородской области на 2014-2020 годы"
Номер опубликования: 5300201608120001
Дата опубликования: 12.08.2016
Страница №7 из 10:
Увеличить