Официальное опубликование правовых актов
ОФИЦИАЛЬНОЕ ОПУБЛИКОВАНИЕ
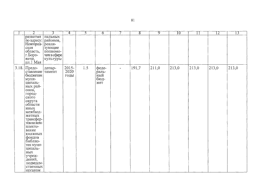
Постановление Правительства Новгородской области от 11.03.2016 № 93
"О внесении изменения в государственную программу Новгородской области "Развитие культуры и туризма Новгородской области на 2014-2020 годы"
Номер опубликования: 5300201603150001
Дата опубликования: 15.03.2016
Страница №82 из 185:
Увеличить