Официальное опубликование правовых актов
ОФИЦИАЛЬНОЕ ОПУБЛИКОВАНИЕ
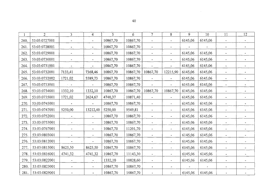
Постановление Правительства Новгородской области от 29.12.2015 № 528
"О внесении изменений в постановление Администрации области от 27.12.2012 № 883"
Номер опубликования: 5300201601040005
Дата опубликования: 04.01.2016
Страница №43 из 301:
Увеличить