Официальное опубликование правовых актов
ОФИЦИАЛЬНОЕ ОПУБЛИКОВАНИЕ
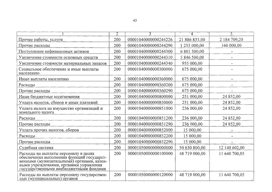
Распоряжение Правительства Новгородской области от 18.05.2015 № 159-рз
"Об утверждении отчета об исполнении областного бюджета за I квартал 2015 года"
Номер опубликования: 5300201505210008
Дата опубликования: 21.05.2015
Страница №45 из 155:
Увеличить