Официальное опубликование правовых актов
ОФИЦИАЛЬНОЕ ОПУБЛИКОВАНИЕ
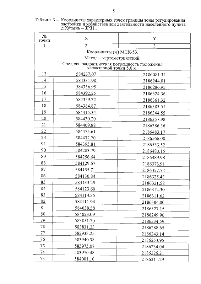
Постановление Правительства Новгородской области от 13.01.2015 № 1
"Об утверждении границ зон охраны объекта культурного наследия (памятника истории и культуры) федерального значения "Хутынский Варлаамов монастырь (руины), XVI в.", режимов использования земель и градостроительных регламентов в границах данных зон"
Номер опубликования: 5300201501150004
Дата опубликования: 15.01.2015
Страница №7 из 57:
Увеличить