Постановление Администрации Воскресенского муниципального района Нижегородской области от 05.04.2018 № 444
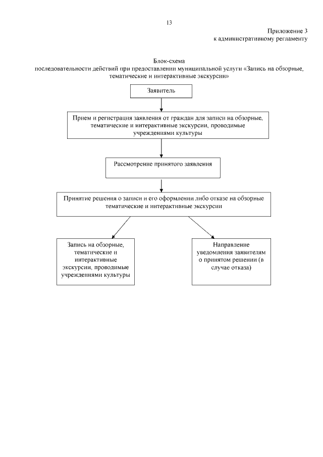
"Об утверждении административного регламента администрации Воскресенского муниципального района Нижегородской области по оказанию муниципальной услуги "Запись на обзорные, тематические и интерактивные экскурсии" (тестовое опубликование)
"Об утверждении административного регламента администрации Воскресенского муниципального района Нижегородской области по оказанию муниципальной услуги "Запись на обзорные, тематические и интерактивные экскурсии" (тестовое опубликование)
Номер опубликования: 5202201804090002
Дата опубликования:
09.04.2018
