Официальное опубликование правовых актов
ОФИЦИАЛЬНОЕ ОПУБЛИКОВАНИЕ
Приказ Министерства градостроительной деятельности и развития агломераций Нижегородской области от 24.02.2026 № 07-01-06/10
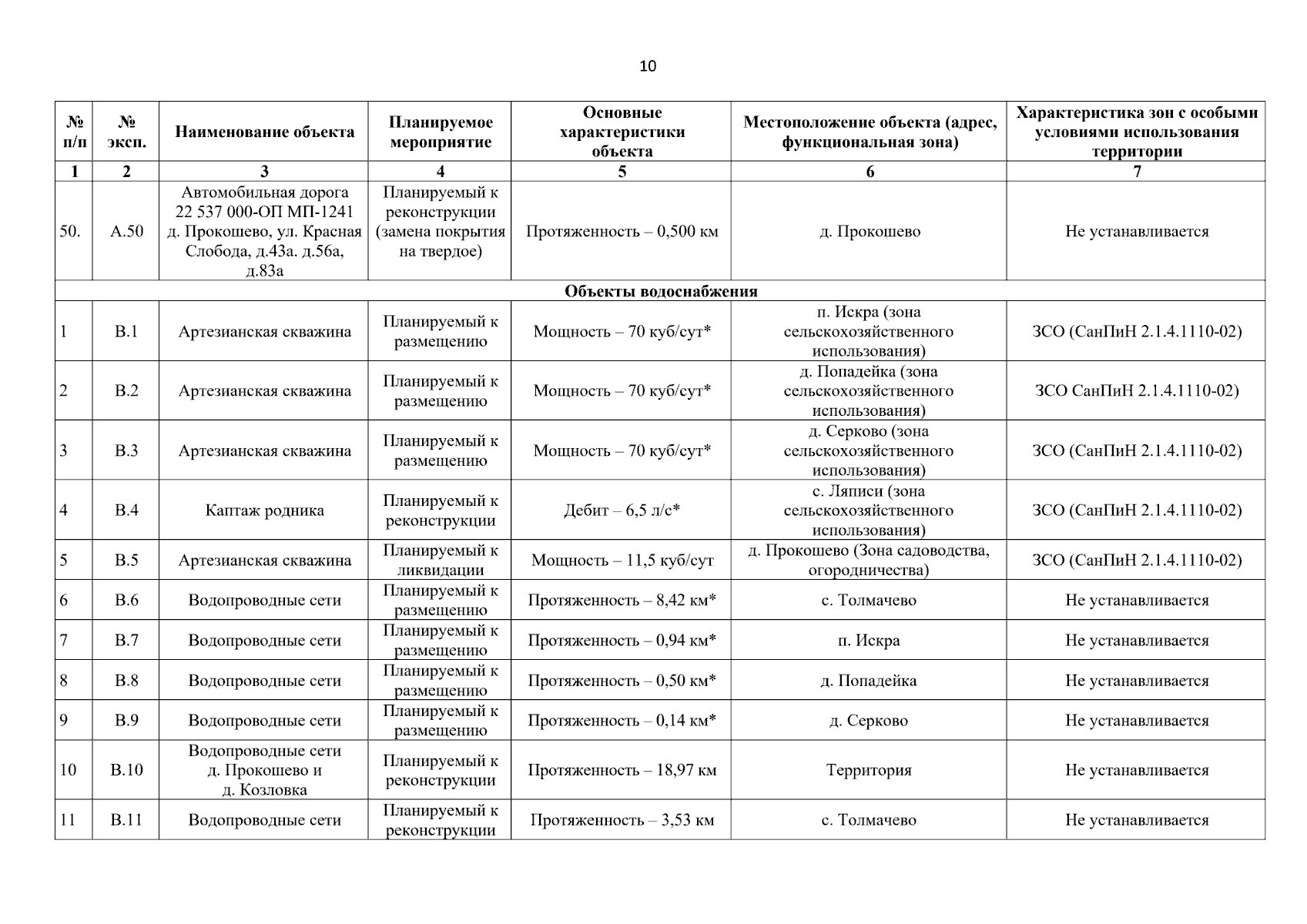
"Об утверждении генерального плана городского округа город Нижний Новгород применительно к населенным пунктам д. Прокошево, с. Ляписи, с. Толмачево, п. Искра, д. Попадейка, д. Красногорка, д. Шерменево, д. Цедень, д. Козловка, д. Семенцево, д. Красноселово, д. Серково, д. Волчиха, д. Докукино, д. Конновка, входящим в состав административно-территориального образования Кстовский район, и территории административно-территориального образования Кстовский район за границами этих населенных пунктов"
(Зарегистрирован 23.03.2026 № 30025-330-007-01-06/10)
Номер опубликования: 5201202603260003
Дата опубликования: 26.03.2026
Страница №12 из 27:
Увеличить