Официальное опубликование правовых актов
ОФИЦИАЛЬНОЕ ОПУБЛИКОВАНИЕ
Приказ Министерства градостроительной деятельности и развития агломераций Нижегородской области от 16.12.2025 № 07-02-03/111
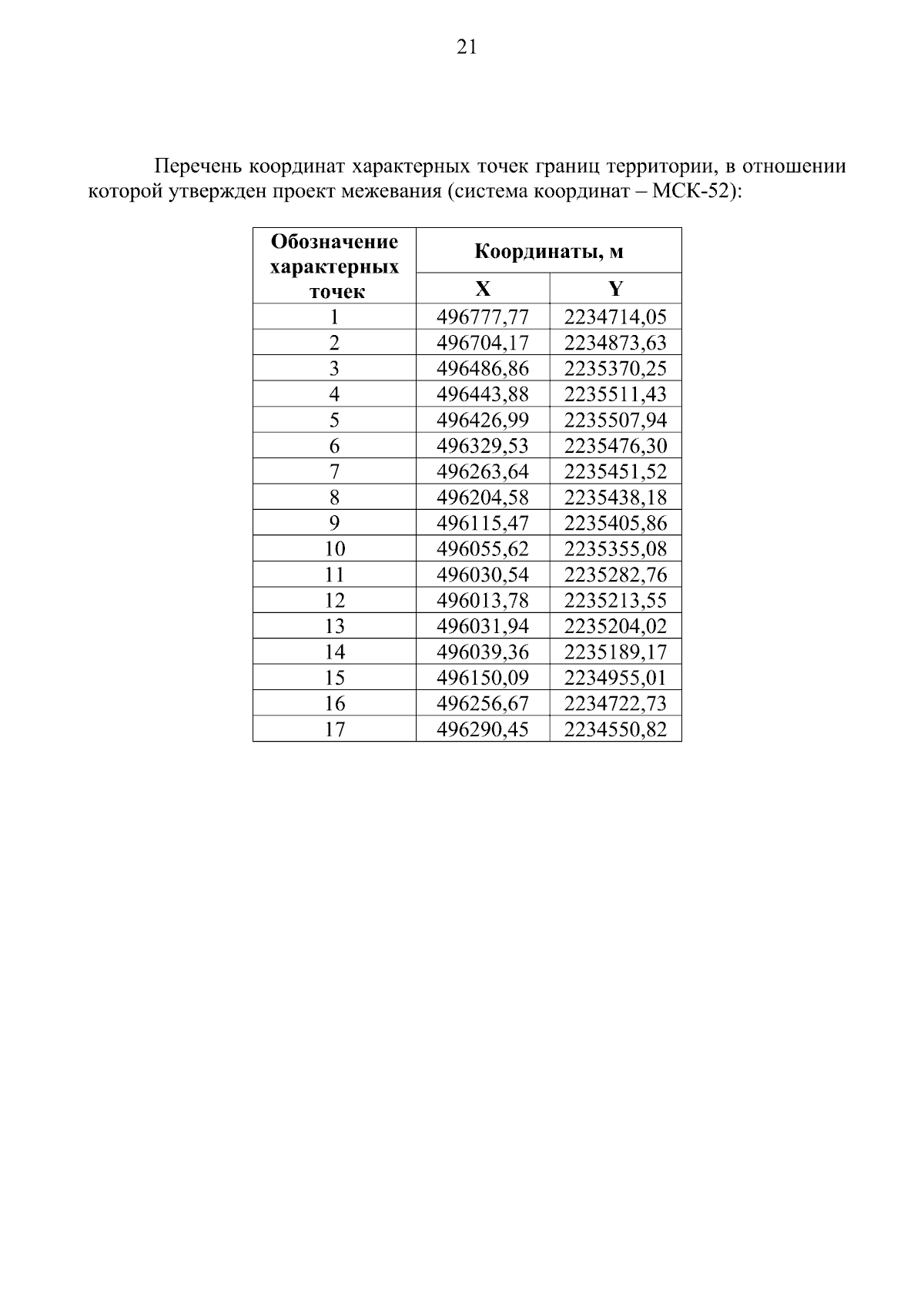
"Об утверждении документации по внесению изменений в документацию по планировке территории (проект планировки территории, включая проект межевания территории), расположенной в западной части деревни Подлесово Кстовского района городского округа город Нижний Новгород Нижегородской области"
(Зарегистрирован 26.01.2026 № 29803-330-007-02-03/111)
Номер опубликования: 5201202601290006
Дата опубликования: 29.01.2026
Страница №23 из 28:
Увеличить