Приказ Управления государственной охраны объектов культурного наследия Нижегородской области от 29.10.2025 № 295
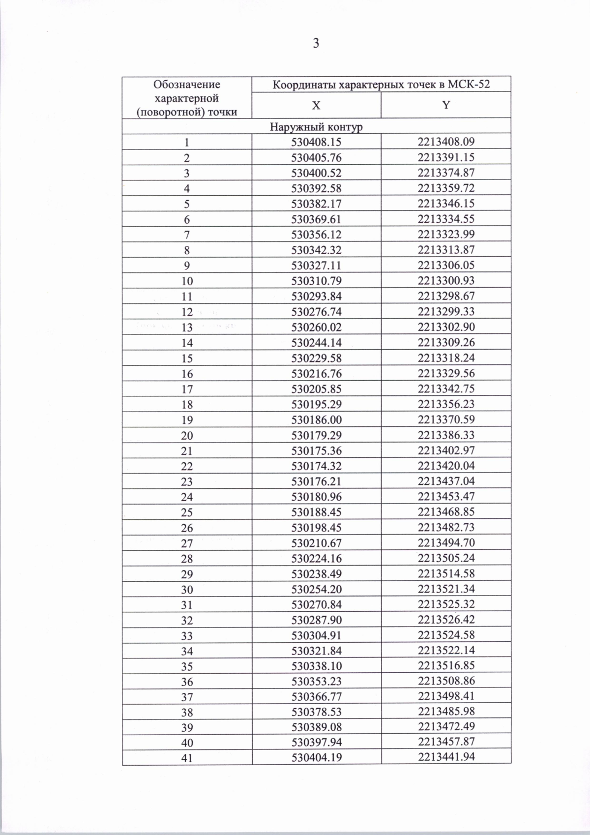
"Об утверждении описания местоположения границ защитной зоны объекта культурного наследия регионального значения "Городское управление милиции" (Нижегородская область, городской округ город Нижний Новгород, город Нижний Новгород, ул. Совнаркомовская, 21 (литера А), режима использования земель в границах защитной зоны объекта культурного наследия"
(Зарегистрирован 27.11.2025 № 29011-518-295)
"Об утверждении описания местоположения границ защитной зоны объекта культурного наследия регионального значения "Городское управление милиции" (Нижегородская область, городской округ город Нижний Новгород, город Нижний Новгород, ул. Совнаркомовская, 21 (литера А), режима использования земель в границах защитной зоны объекта культурного наследия"
(Зарегистрирован 27.11.2025 № 29011-518-295)
Номер опубликования: 5201202511280001
Дата опубликования:
28.11.2025
