Официальное опубликование правовых актов
ОФИЦИАЛЬНОЕ ОПУБЛИКОВАНИЕ
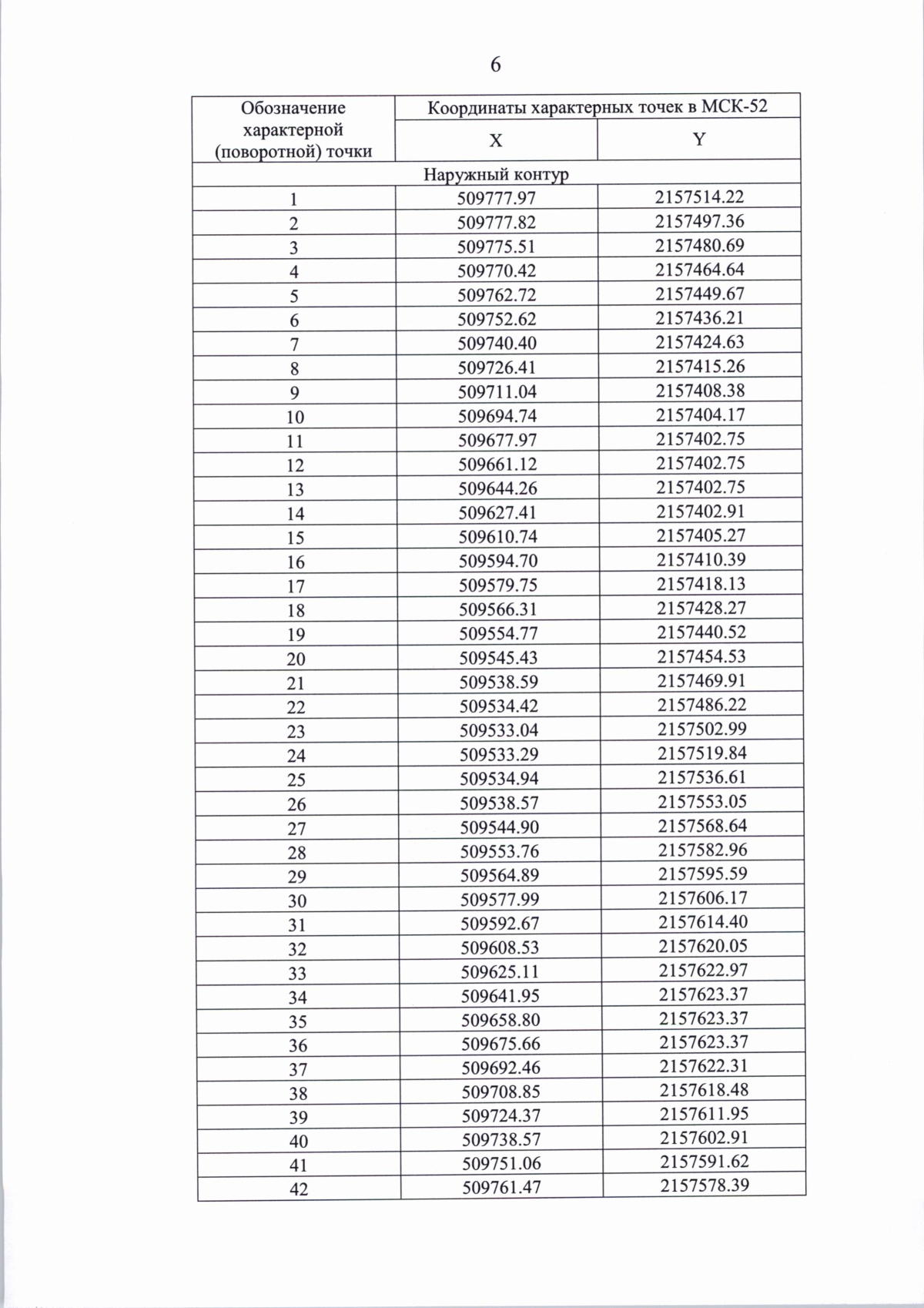
Приказ Управления государственной охраны объектов культурного наследия Нижегородской области от 13.11.2025 № 309
"О внесении изменений в приказ управления государственной охраны объектов культурного наследия Нижегородской области от 29.10.2019 № 321"
(Зарегистрирован 18.11.2025 № 28953-518-309)
Номер опубликования: 5201202511190005
Дата опубликования: 19.11.2025
Страница №7 из 8:
Увеличить